5-Fluoro-2-methyl-D-pheny...
Catalog No:AS05260
CAS No:1213077-83-8
5-Fluoro-2-methyl-L-pheny...
Catalog No:AS05261
CAS No:1212878-56-2
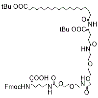
Fmoc-Lys(tBuO-Ara-Glu(AEE...
Catalog No:AS05262
CAS No:2460751-66-8
Boc-4-cyano-DL-homophenyl...
Catalog No:AS05265
CAS No:2352026-03-8
Boc-4-cyano-L-homophenyla...
Catalog No:AS05266
CAS No:2348295-63-4
Boc-4-cyano-D-homophenyla...
Catalog No:AS05267
CAS No:2348290-11-7
N-Fmoc-(S)-2-amino-4-(3-(...
Catalog No:AS05268
CAS No:3065646-85-4
N-Fmoc-2-amino-4-(3-(tert...
Catalog No:AS05269
CAS No:2089013-61-4
Fmoc-N-methyl-D-glutamic ...
Catalog No:AS05270
CAS No:3065644-95-0
N-Fmoc-4-(4,4,5,5-tetrame...
Catalog No:AS05273
CAS No:1060765-24-3
Cbz-L-valyl-D-alanine
Catalog No:AS05275
CAS No:17445-33-9
Cbz-D-valyl-D-alanine
Catalog No:AS05276
CAS No:17445-34-0
Products are for research use only. Not for human use. We do not sell to patients